Find Out 40+ Truths On Remdesivir Structure They Did not Share You.

Remdesivir Structure | Focused on the viral polymerase essential for replicating viral rna. The overall conformation of the complex structure is very similar to that of the apo form, with the identical structures at the core catalytic active site. An a nucleotide comes from atp shown at the right. The molecule originally was synthesized as part of a screen for inhibitors of the hepatitis c virus rna polymerase. Remdesivir is usually given once per day for 5 to 10 days.

It works by blocking the rna polymerase that coronaviruses and related rna viruses need to replicate their genomes and proliferate in the host body. Remdesivir converts into its triphosphate metabolites 9tp in human cells which is taken up in place of adenosine triphosphate by the viral rna polymerase, thereby crippling the virus replication. It is administered via injection into a vein. Remdesivir must be given slowly, and the infusion can take 30 to 120 minutes to complete. The structure of the complex explains how remdesivir enters the replication active site and covalently links with the viral genome, inhibiting viral replication.

Role Of 1 Ribose Cyano Substitution For Remdesivir To Effectively Inhibit Both Nucleotide Addition And Proofreading In Sars Cov 2 Viral Rna Replication Biorxiv
Role Of 1 Ribose Cyano Substitution For Remdesivir To Effectively Inhibit Both Nucleotide Addition And Proofreading In Sars Cov 2 Viral Rna Replication Biorxiv from www.biorxiv.org
For this rna segment, circle the atoms that comprise the backbone of the nucleic acid chain and write the name of the sugar and base in this rna segment. Remdesivir is an intravenous nucleotide prodrug of an adenosine analog. This compound is currently under clinical development for the treatment of ebola virus disease (evd). The basic structure of a nucleoside includes a sugar group and a base (a, c, g, t or u), and in the case of a nucleotide, a group containing a phosphate which is a collection of oxygen and. Remdesivir mimics an rna nucleotide building block and is covalently linked to the replicating rna, which. It works by blocking the rna polymerase that coronaviruses and related rna viruses need to replicate their genomes and proliferate in the host body. Remdesivir works by interrupting production of the virus. The molecule originally was synthesized as part of a screen for inhibitors of the hepatitis c virus rna polymerase.

Remdesivir is a nucleoside analog, one of the oldest classes of antiviral drugs. The structure of the complex explains how remdesivir enters the replication active site and covalently links with the viral genome, inhibiting viral replication. This prevents the virus from multiplying. For this rna segment, circle the atoms that comprise the backbone of the nucleic acid chain and write the name of the sugar and base in this rna segment. The basic structure of a nucleoside includes a sugar group and a base (a, c, g, t or u), and in the case of a nucleotide, a group containing a phosphate which is a collection of oxygen and. Remdesivir is an intravenous nucleotide prodrug of an adenosine analog. The molecule originally was synthesized as part of a screen for inhibitors of the hepatitis c virus rna polymerase. In the human body half the rendesivir atoms are removed and two phosphates (orange) are added to make the active This article says that remdesivir is incorporated into the rna as an adenine analog and then 3 more bases are added before a clash with serine 861 of the polymerase blocks further transcription. While antiviral effects have been demon … It is administered via injection into a vein. Focused on the viral polymerase essential for replicating viral rna. Remdesivir works by interrupting production of the virus.

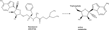
It has a role as a drug metabolite, an antiviral drug and an anticoronaviral agent. Remdesivir works by interrupting production of the virus. It works by blocking the rna polymerase that coronaviruses and related rna viruses need to replicate their genomes and proliferate in the host body. The basic structure of a nucleoside includes a sugar group and a base (a, c, g, t or u), and in the case of a nucleotide, a group containing a phosphate which is a collection of oxygen and. Comparing the structure of remdesivir with adenosine, one can see there are three key modifications that make it effective.

Structural Basis For Inhibition Of The Sars Cov 2 Rna Polymerase By Suramin Nature Structural Molecular Biology
Structural Basis For Inhibition Of The Sars Cov 2 Rna Polymerase By Suramin Nature Structural Molecular Biology from media.springernature.com
These mechanistic insights should facilitate the quest for improved antivirals that target coronavirus replication. Remdesivir mimics an rna nucleotide building block and is covalently linked to the replicating rna, which. Remdesivir is a nucleotide analog prodrug that has been evaluated in humans against acute ebola virus disease; For this rna segment, circle the atoms that comprise the backbone of the nucleic acid chain and write the name of the sugar and base in this rna segment. Remdesivir converts into its triphosphate metabolites 9tp in human cells which is taken up in place of adenosine triphosphate by the viral rna polymerase, thereby crippling the virus replication. Remdesivir differs from the structure of adenosine because of a cyano group (cn) attached to the 1' carbon of the ribose sugar. Remdesivir must be given slowly, and the infusion can take 30 to 120 minutes to complete. It is administered via injection into a vein.

Remdesivir works by interrupting production of the virus. This prevents the virus from multiplying. You will need frequent blood tests to check your liver function. They determined a structure of the polymerase bound to rna and to the drug remdesivir. For this rna segment, circle the atoms that comprise the backbone of the nucleic acid chain and write the name of the sugar and base in this rna segment. For antiviral product development, the food and drug administration recommends the characterization of in vitro selected resistant viruses to define the specific antiviral mechanism of action. It is the active metabolite of remdesivir. Focused on the viral polymerase essential for replicating viral rna. It has a role as a drug metabolite, an antiviral drug and an anticoronaviral agent. Remdesivir differs from the structure of adenosine because of a cyano group (cn) attached to the 1' carbon of the ribose sugar. It is administered via injection into a vein. Remdesivir is a protide (prodrug of nucleotide). Remdesivir converts into its triphosphate metabolites 9tp in human cells which is taken up in place of adenosine triphosphate by the viral rna polymerase, thereby crippling the virus replication.

This prevents the virus from multiplying. Remdesivir interferes with one of the key enzymes the virus needs to replicate rna. Remdesivir mimics an rna nucleotide building block and is covalently linked to the replicating rna, which. Remdesivir is an intravenous nucleotide prodrug of an adenosine analog. Focused on the viral polymerase essential for replicating viral rna.

What Can Initial Remdesivir Data Tell Us About Tackling Covid 19
What Can Initial Remdesivir Data Tell Us About Tackling Covid 19 from cen.acs.org
Remdesivir interferes with one of the key enzymes the virus needs to replicate rna. You will need frequent blood tests to check your liver function. Remdesivir is a nucleotide analog prodrug that has been evaluated in humans against acute ebola virus disease; It is administered via injection into a vein. Remdesivir works by interrupting production of the virus. Remdesivir mimics an a (adenine) nucleotide. They determined a structure of the polymerase bound to rna and to the drug remdesivir. For this rna segment, circle the atoms that comprise the backbone of the nucleic acid chain and write the name of the sugar and base in this rna segment.

They determined a structure of the polymerase bound to rna and to the drug remdesivir. It is administered via injection into a vein. Remdesivir works by interrupting production of the virus. Remdesivir interferes with one of the key enzymes the virus needs to replicate rna. Remdesivir mimics an a (adenine) nucleotide. In the human body half the rendesivir atoms are removed and two phosphates (orange) are added to make the active Remdesivir converts into its triphosphate metabolites 9tp in human cells which is taken up in place of adenosine triphosphate by the viral rna polymerase, thereby crippling the virus replication. It is the active metabolite of remdesivir. It is theorized that this modification is the primary reason that rna replication is terminated. While antiviral effects have been demon … You will need frequent blood tests to check your liver function. Remdesivir is an intravenous nucleotide prodrug of an adenosine analog. These mechanistic insights should facilitate the quest for improved antivirals that target coronavirus replication.

Remdesivir Structure: For antiviral product development, the food and drug administration recommends the characterization of in vitro selected resistant viruses to define the specific antiviral mechanism of action.

CONVERSATION

0 comments:

Post a Comment

Back
to top